8. Справочные материалы
8.1. Аббревиатуры и сокращения
RID — Refractive Index Detector, рефрактометрический детектор, также детектор показателя преломления
АПХК — аппаратно-программный хроматографический комплекс
АЦП — аналого-цифровой преобразователь
АЭД — атомно-эмиссионный детектор
БД — база данных
БУ — блок управления (модуль хроматографа), также ЦПУ (центральная плата управления)
ВЭЖХ — высокоэффективная жидкостная хроматография
ГАХ — газоадсорбционная хроматография (также газо-твёрдофазная)
ГИД — гелиевый ионизационный детектор
ГСД — галоген-селективный детектор
ГХ — газовый хроматограф
ДАЖ — дозатор автоматический жидкостный
ДРП — дозатор равновесного пара
ДТП — детектор по теплопроводности
ДЭЛП(Х) — детектор электролитической проводимости Холла
ЖХ — жидкостный хроматограф
ИРМ — измерительно-регулирующий модуль
КД — кондуктометрический детектор
КДЖ — кран-дозатор жидкости
МСД — масс-селективный детектор
КК — капиллярная колонка
НЖФ — неподвижная жидкая фаза
НК — насадочная колонка
ПГХ — промышленный газовый хроматограф
ПИД — пламенно-ионизационный детектор
ПО — программное обеспечение
ППФД — пульсирующий пламенно-фотометрический детектор
ПРД — пульсирующий разрядный детектор
ПФД — пламенно-фотометрический детектор
ПЭД — пламенно-эмиссионный детектор
РГП — регулятор газовых потоков
РИД — разрядный ионизационный детектор
СГС — «сантиметр-грамм-секунда», система единиц измерения, использовавшаяся до принятия Международной системы единиц (СИ)
СК — система криоконцентрирования (Хромос СК)
ТИД — термоионный детектор
ТН — твёрдый носитель
ТУ — технические условия
ТХД — термохимический детектор
УПБ — устройство подогрева баллонов
ФИД — фотоионизационный детектор
ФНЧ — фильтр низких частот
ФСП — фильтр сетевой противопомеховый
ХЛД — хемилюминесцентный детектор
ХДС — хемилюминесцентный детектор серы
ЧХУ — четырёххлористый углерод
ЭЗД — электронозахватный детектор
ЭХД — электрохимический детектор
8.2. «Горячие» клавиши ПО «Хромос»
В таблице приведены сочетания клавиш для быстрого доступа к действиям при работе с ПО «Хромос»:
Сочетание |
Действие |
|---|---|
Ctrl + C |
Сохранение таблицы пиков в буфер обмена (предварительно мышью выбрать график) |
Ctrl + Ins |
Сохранение таблицы пиков в буфер обмена (предварительно мышью выбрать график) |
Alt + Backspace |
Отменить последнее изменение данных |
Ctrl + O |
Открыть файл хроматограммы |
Ctrl + P |
Генерировать отчёт по хроматограмме |
Ctrl + S |
Сохранить хроматограмму |
Ctrl + Alt + S |
Сохранить результаты анализа в базу данных |
F6 |
Перейти в следующее окно |
Shift + F6 |
Перейти в предыдущее окно |
Ins или A |
Добавить пик |
Delete или D |
Удалить пик |
Alt + Delete |
Удалить все пики |
Alt + Shift + Delete |
Удалить все неизвестные пики |
Esc |
Отменить действие |
Alt + ↑ ↓ ← → |
Масштабирование хроматограммы |
↑ ↓ ← → |
Перемещение хроматограммы |
Двойной левый клик |
Вписать хроматограмму в окно |
Shift + Колесо мыши |
Перемещение хроматограммы влево и вправо |
Колесо мыши |
Перемещение хроматограммы вверх и вниз |
Ctrl + Колесо мыши |
Масштабирование хроматограммы |
Shift + Левый клик |
Перемещение хроматограммы |
N |
Оперативный расчёт шума и дрейфа по участку хроматограммы |
Ctrl + Z |
Отмена действия по перемещению или масштабированию хроматограммы |
8.3. Настройка параметров печати
В системном окне настроек печати выбирается принтер, ориентация страницы, свойства бумаги.
Примечание
Содержание окна зависит от компьютера, на котором установлено ПО. Доступные опции могут меняться.
Чтобы открыть окно настроек печати, в меню Хроматограмма выберите Установки печати…
8.4. Принцип работы хроматографа
Принцип работы хроматографа заключается в разделении смеси веществ на компоненты, основываясь на их адсорбционных характеристиках, и анализе концентрации этих компонентов. В процессе распределения веществ участвуют подвижная и неподвижная фазы. Подвижной фазой (элюентом) являются газ или жидкость, а неподвижной — частицы твёрдого тела или жидкость, нанесённая на поверхность инертного носителя.
Газовый хроматограф (ГХ) состоит из следующих элементов (Рис. 87):
Источник элюента (газовый баллон);
РГП;
Устройство ввода (кран + дозирующая петля/дозатор);
Колонка + термостат;
Детектор + электронный усилитель;
Регистрирующий прибор (АЦП, компьютер).
Рис. 87 Схема устройства газового хроматографа
В зависимости от используемого детектора к хроматографу подключаются источники воздуха и водорода (для ПИД), поддува (для усиления пламени ПИД), сравнительного потока (газа сравнения, для ДТП) и др. Для отсечения ненужных компонентов в составе ГХ может использоваться также предколонка.
Промышленный газовый хроматограф (ПГХ, или потоковый) отличается от лабораторного ГХ наличием специального продуваемого или непродуваемого взрывозащитного корпуса. В ПГХ используются мембранные краны, в которых для перенаправления потока между портами мембрана поднимается дополнительным потоком воздуха или инертного газа. Для работы с ПГХ используется ПО «Хромос» и ПО «Хромос Поток».
Примечание
О работе с ПО «Хромос Поток» см. соответствующую документацию.
Жидкостный хроматограф (ЖХ) состоит из следующих элементов (Рис. 88):
Источник элюента (сосуд с жидкостью);
Насос;
Дозатор;
Колонка + термостат;
Детектор;
Регистрирующий прибор (АЦП, компьютер).
Рис. 88 Схема устройства жидкостного хроматографа
В качестве дополнительных устройств для расширения аналитических возможностей ЖХ в его состав могут входить:
Устройство подготовки элюента (фильтр, дегазатор);
Послеколоночный реактор;
Автоматический дозатор;
Градиентное устройство.
8.5. Дополнительные каналы записи
На хроматографе «Хромос ГХ-1000» пользователям с привилегией Plug&Play приборов доступны дополнительные каналы записи. Они позволяют осуществить запись различных параметров прибора для диагностики его состояния. При необходимости эти записи в виде файлов хроматограмм можно отправить разработчикам прибора для диагностики. Дополнительные каналы настраиваются индивидуально по выбранным параметрам. Название параметра добавляется в паспорт хроматограммы как название пробы. Можно задать следующие параметры для отслеживания на дополнительных каналах:
Текущая температура (термостаты колонок, инжекторов, детекторов);
Мощность нагрева термостатируемых объектов;
Дельта температур (разность между заданной и измеренной температурами);
Расход газа-носителя, водорода, воздуха;
Дельта расходов (разность между заданными и измеренными расходами);
Входное давление газа-носителя, водорода, воздуха;
Выходное давление газа-носителя;
Напряжение на клапане регулятора расхода газа-носителя, водорода, воздуха;
Положение форточки;
Напряжение электрической сети 220 В;
Температура дополнительной зоны;
Мощность нагрева дополнительной зоны;
Заданная температура программируемого испарителя;
Измеренная температура программируемого испарителя;
Дельта температур программируемого испарителя;
Мощность нагрева программируемого испарителя;
Напряжение на насосе системы захолаживания;
Температура хладагента системы захолаживания;
Дельта температур между температурными зонами;
Дельта температур между температурной зоной и измеренной температурой в термостате колонок (Тк);
Атмосферное давление;
Сигнал детектора;
Напряжение детектора 300 В.
Установки дополнительных каналов записи задаются во вкладке Дополнительные окна Установки прибора (Рис. 89).
Рис. 89 Окно «Установки прибора Хромос-1000 > Дополнительные»
8.6. Количественные расчёты в методе
В данном разделе описана реализация стандартных расчётов в ПО «Хромос». В программе доступны следующие расчёты:
абсолютная градуировка (классический);
абсолютная градуировка (по наименьшим квадратам);
внутренний стандарт (классический);
внутренний стандарт (по абсолютным коэффициентам);
простая нормализация;
нормализация с абсолютными поправочными коэффициентами;
нормализация с относительными поправочными коэффициентами;
внешний стандарт;
расчёт по внутреннему эталону.
Далее приведены описания каждого из расчётов:
8.6.1. Абсолютная градуировка (классический)
Большинство детекторов, применяемых в хроматографии, линейны. Исходя из этого, можно построить линейную зависимость между вводимой концентрацией компонента и площадью (или высотой) пика на хроматограмме. Процедуру нахождения такой линейной зависимости называют градуировкой детектора.
Для построения данной градуировки берётся несколько смесей в рабочем диапазоне концентраций и производится несколько посадок каждой смеси. Для каждого компонента в каждой посадке рассчитывается градуировочный коэффициент. Затем полученный коэффициент для каждого компонента усредняется, и при расчёте неизвестных проб применяется уже усреднённый градуировочный коэффициент.
В ПО «Хромос» хроматограмма добавляется в градуировку в виде уровня, который содержит градуировочные точки всех компонентов, присутствующих в данной хроматограмме. Удаления одной точки у компонента конкретного уровня не предполагается, то есть уровень (хроматограмму) из градуировки можно удалить только целиком. Тем не менее, если какой-либо компонент в градуировочной хроматограмме отсутствует, при градуировке для него выставляется нулевое значение количества, и данная точка в расчётах градуировочных коэффициентов не учитывается.
Примечание
Если необходимо исключить какую-либо точку из градуировки, можно задать нулевое значение количества компонента для этой точки.
В ряде случаев при градуировке дозируется один объём пробы, а в ходе анализа — другой. Также может применяться разведение или концентрирование пробы. Поля Объём и Разведение в паспорте хроматограммы учитывают различное количество вещества, попадающее в детектор в таких случаях. Если при градуировке и при анализе дозируется одинаковое количество вещества, то в поле Объём указывается значение 1. Если не применяются разведение или концентрирование пробы, то в поле Разведение указывается значение 1.
Расчёт градуировочных коэффициентов осуществляется по формуле Ф. 2:
(2)
В формуле Ф. 2:
— градуировочный коэффициент;
— известная концентрация компонента;
— площадь (или высота) пика компонента;
— значение поля Объём в паспорте хроматограммы;
— значение поля Разведение в паспорте хроматограммы.
В полях Количество в окне Градуировка указываются значения количество вещества при градуировке. Оно рассчитывается по формуле Ф. 3:
(3)
В формуле Ф. 3:
— количество вещества при градуировке;
— известная концентрация компонента;
— значение поля Объём в паспорте хроматограммы;
— значение поля Разведение в паспорте хроматограммы.
Используя найденные градуировочные коэффициенты, можно по площади (или высоте) пика неизвестного компонента найти его концентрацию. В этом случае необходимо заполнить поля Объём и Разведение в паспорте неизвестной пробы. Расчёт производится по формуле Ф. 4:
(4)
В формуле Ф. 4:
— искомая концентрация компонента;
— градуировочный коэффициент;
— площадь (или высота) пика компонента;
— значение поля Разведение в паспорте хроматограммы;
— значение поля Объём в паспорте хроматограммы.
8.6.2. Абсолютная градуировка (по наименьшим квадратам)
Данный метод расчёта подобен классической абсолютной градуировке, однако вместо линейной градуировочной зависимости здесь возможно использовать целый ряд функций. В общем случае зависимость количества вещества, определяемого на хроматографе, описывается некоторой функцией (Ф. 5) от отклика на хроматограмме (площади или высоты пика):
(5)
Или же по следующей формуле Ф. 6:
(6)
В приведённой формуле Ф. 6:
— искомая концентрация компонента;
— градуировочная функция;
— значение поля Разведение в паспорте хроматограммы;
— значение поля Объём в паспорте хроматограммы.
Методом наименьших квадратов подбираются такие параметры функции, чтобы рассчитанные концентрации были максимально близки к значениям при градуировке.
(7)
(8)
В приведённых функциях Ф. 7 и Ф. 8:
— рассчитанная концентрация на основе отклика;
— известная концентрация в градуировочной смеси;
— суммарное квадратичное отклонение.
При градуировке находятся оптимальные коэффициенты выбранной функции. При расчёте используется данная функция для расчёта концентраций, исходя из площади или высоты пика.
В ПО «Хромос» представлены следующие виды градуировочных функций F(S):
Полиномы |
Обратные полиномы |
Экспоненциальные |
|---|---|---|
|
|
|
|
|
|
|
|
|
|
|
|
|
|
|
|
|
|
8.6.3. Внутренний стандарт (классический)
В данном методе расчёта при градуировке находятся абсолютные градуировочные коэффициенты (Ф. 9):
(9)
В приведённой формуле Ф. 9:
— абсолютный градуировочный коэффициент;
— известная концентрация (или масса) компонента;
— площадь (или высота) пика компонента.
Исходя из полученных абсолютных градуировочных коэффициентов, вычисляются относительные градуировочные (поправочные) коэффициенты путём нормировки на абсолютный коэффициент вещества-стандарта (Ф. 10):
(10)
В приведённой формуле Ф. 10:
— абсолютный градуировочный коэффициент компонента;
— абсолютный градуировочный коэффициент стандарта;
— относительный градуировочный коэффициент компонента.
В градуировочной хроматограмме вместо концентраций компонентов можно использовать массы, которые вводятся в поле Концентрация.
Расчёт неизвестной пробы производится по формуле Ф. 11:
(11)
В приведённой формуле Ф. 11:
— площадь (или высота) пика компонента;
— площадь (или высота) пика стандарта;
— относительный градуировочный коэффициент;
— значение поля Масса стандарта в паспорте хроматограммы;
— значение поля Масса пробы в паспорте хроматограммы.
Примечание
Масса пробы — масса взятой для анализа пробы вместе со стандартом. Масса стандарта — масса внесённого в пробу стандарта. Если известна концентрация стандарта, она вводится в поле Масса стандарта, а в поле Масса пробы вносится значение 100.
8.6.4. Внутренний стандарт (по абсолютным коэффициентам)
Ошибка, возникающая от несовпадения градуировочных точек и построенного графика у стандарта, связана с ошибкой дозирования. Количество смеси при дозировании каждый раз разное. В данном методе расчёта построение градуировочного графика стандарта идентично методу абсолютной градуировки по наименьшим квадратам. Поиск наилучших коэффициентов градуировочной зависимости
ведётся методом наименьших квадратов.
(12)
В приведённой формуле Ф. 12:
— искомая концентрация компонента;
— градуировочная функция компонента;
— площадь (или высота) пика компонента;
— индекс компонента.
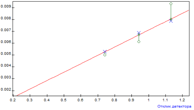
На Рис. 90 градуировочный график стандарта построен по реальным точкам (кружки) методом наименьших квадратов. Стрелки соответствуют корректирующему коэффициенту R, который показывает недостаток или переизбыток реального количества компонента-стандарта относительно вычисленного по формуле.
Рис. 90 График построен по реальным точкам
У стандарта все скорректированные по количеству точки лежат на графике стандарта. Поправочный коэффициент вычисляется как отношение скорректированного (крестик) и реального (кружок) количества. Поправочный коэффициент вычисляется по компоненту-стандарту (Ф. 13).
(13)
В приведённой формуле Ф. 13:
— градуировочная функция стандарта;
— концентрация компонента-стандарта в градуировочной точке;
— номер градуировочной точки или уровень градуировки.
Поправочные коэффициенты стандарта для каждой хроматограммы (для каждой точки) рассчитываются на основе общей градуировочной функции и реальной концентрации градуировочной точки. Одной хроматограмме соответствует один поправочный коэффициент
, сообщающий об ошибке при дозировании пробы в данной хроматограмме.
При расчёте градуировочной зависимости остальных компонентов используется тот же поправочный коэффициент R, который был вычислен на этапе построения градуировки компонента-стандарта. Перед построением градуировочной функции концентрации компонентов умножаются на этот коэффициент, чем компенсируется ошибка дозирования (Ф. 14).
(14)
Скорректированные концентрации используют для построения градуировочного графика методом наименьших квадратов. На Рис. 91 отображаются реальные (кружки) и скорректированные (крестики) концентрации:
Рис. 91 График построен по наименьшим квадратам
Вычисление концентраций неизвестной пробы происходит по формуле Ф. 15:
(15)
В приведённой формуле Ф. 15:
— площадь (или высота) пика компонента;
— площадь (или высота) пика стандарта;
— градуировочная функция компонента;
— градуировочная функция стандарта
— значение поля Масса стандарта в паспорте хроматограммы;
— значение поля Масса пробы в паспорте хроматограммы.
В данном методе расчёта можно использовать следующие градуировочные функции F(S):
Полиномы |
Обратные полиномы |
Экспоненциальные |
|---|---|---|
|
|
|
|
|
|
|
|
|
|
|
|
|
|
|
|
|
|
8.6.5. Простая нормализация
Данный метод является простым методом количественного расчёта, не учитывающим чувствительности детектора к различных веществам. При таком расчёте концентрация каждого компонента в смеси пропорциональна высоте или площади пика.
Сумма концентраций всех компонентов принимается за 100%. Если в пробе присутствует какое-либо вещество, которое не может быть определено хроматографическим методом, но его концентрация точно известна, то расчёт нормируется на процент за вычетом этого числа. Например, если концентрация воды в смеси составляет 2%, и пламенно-ионизационный детектор воды не обнаруживает, то расчёт нормируется на 98% (чтобы суммарно с водой получить 100%).
(16)
В приведённой формуле Ф. 16:
— концентрация компонента;
— площадь (или высота) пика компонента;
— значение поля Норма из паспорта хроматограммы.
8.6.6. Нормализация с абсолютными поправочными коэффициентами
В данном методе в результате градуировки вычисляются абсолютные градуировочные коэффициенты
, как в классическом методе абсолютной градуировки. Затем эти коэффициенты используются в формулах нормировки Ф. 17 и Ф. 18:
(17)
(18)
В приведённых формулах Ф. 17 и Ф. 18:
— концентрация компонента;
— площадь (или высота) пика компонента;
— абсолютный градуировочный коэффициент;
— значение поля Норма в паспорте хроматограммы.
В окне Градуировка отображаются абсолютные градуировочные коэффициенты.
8.6.7. Нормализация с относительными поправочными коэффициентами
В данном методе в результате градуировки вычисляются относительные градуировочные коэффициенты
. Затем эти коэффициенты используются в формуле Ф. 21.
Градуировка:
(19)
(20)
Расчёт:
(21)
В приведённых формулах Ф. 19, Ф. 20 и Ф. 21:
— концентрация компонента;
— площадь (или высота) пика компонента;
— абсолютный градуировочный коэффициент стандарта;
— относительный градуировочный коэффициент;
— значение поля Норма в паспорте хроматограммы.
В окне Градуировка отображаются относительные градуировочные коэффициенты.
8.6.8. Внешний стандарт
В этом методе абсолютная градуировка осуществляется по одному компоненту — стандарту. Для остальных компонентов рассчитываются или вводятся вручную относительные поправочные коэффициенты чувствительности. Градуировочный коэффициент для остальных компонентов вычисляется домножением на относительный коэффициент чувствительности (Ф. 22, Ф. 23):
(22)
(23)
В приведённых формулах Ф. 22 и Ф. 23:
— концентрация компонента;
— площадь (или высота) пика компонента;
— абсолютный градуировочный коэффициент стандарта;
— относительный градуировочный (поправочный) коэффициент.
8.6.9. Внутренний эталон
В данном методе расчёта градуировка не используется. В смесь добавляется компонент-эталон с известной концентрацией. Коэффициент чувствительности для всех компонентов смеси считается равным коэффициенту чувствительности для компонента-эталона.
Расчёт концентраций производится по формуле Ф. 24:
(24)
В приведённой формуле Ф. 24:
— концентрация компонента;
— площадь (или высота) пика компонента;
— площадь (или высота) пика эталона;
— концентрация эталона.
8.7. Расчёт коэффициента деления
Для расчёта выходного потока на выходе из колонки используется уравнение Пуазёйля (Ф. 25):
(25)
В приведённой формуле Ф. 25:
— внутренний радиус колонки, см;
— длина колонки, см;
— давление на входе (абсолютное), дин/см2;
— давление на выходе (абсолютное), дин/см2;
— опорное давление, как правило — 1 атм;
— температура колонки, К;
— опорная температура, как правило — 25°С (298 К);
— вязкость газа при температуре колонки, пуаз;
— преобразование секунд (СГС) в минуты.
Следует отметить, что для этого расчёта давление указывается в дин/см2, а температура — в К. Чтобы перевести значения в эти единицы, примените следующий приём пересчёта:
Давление: 1 атм = 1,01 бар = 101 кПа = 14,7 фунт/дюйм2 = 1,013e+6 дин/см2;
Температура: n К (абсолютная температура) = (n+273,15)°C.
8.8. Режимы работы РГП
При настройке назначения регуляторов газовых потоков (РГП) и типа газа в окне Установки газа-носителя необходимо выбрать режим работы РГП. В ПО «Хромос» доступны следующие режимы работы РГП:
Постоянный расход
Постоянное давление (выход)
Постоянная линейная скорость КК (выход)
Программируемый расход
Программируемое давление (выход)
Программируемая линейная скорость (выход)
При поджиге *2 плюс добавка
При поджиге *3 плюс добавка
При поджиге +20 плюс добавка (При поджиге +40 плюс добавка)
При поджиге уменьшать в два раза
При поджиге уменьшать до 10
При поджиге выключать
Индикатор расхода
Экономия расхода
Коэффициент деления
При поджиге *4.3
При поджиге уменьшать в 2.5 раза
Постоянное давление (вход)
Постоянная линейная скорость КК (вход)
Программируемое давление (вход)
Программируемая линейная скорость КК (вход)
Далее приведены описания каждого режима.
8.8.1. Постоянный расход
В данном режиме поддерживается постоянный расход газа на выходе РГП. Этот режим используется в следующих случаях: поддержание расхода через насадочную колонку, сброс пробы капиллярного испарителя, сравнительный поток (газ сравнения) детектора по теплопроводности (ДТП), поддув детектора и т. д. Значение расхода газа задаётся в см3/мин во вкладке Общие окна Установки прибора.
Рис. 92 Режим «Постоянный расход»
8.8.2. Постоянное давление (выход)
Данный режим используется для поддержания постоянного давления газа-носителя на выходе. Значение давления газа-носителя задаётся в кгс/см2 во вкладке Общие окна Установки прибора.
8.8.3. Постоянная линейная скорость КК (выход)
Данный режим используется для поддержания постоянной линейной скорости газа-носителя через капиллярную колонку (КК) на выходе. При выборе данного режима необходимо задать длину и внутренний диаметр КК. Значение линейной скорости газа-носителя задаётся в см/сек во вкладке Общие окна Установки прибора.
Рис. 93 Режим «Постоянная линейная скорость КК (выход)»
8.8.4. Программируемый расход
Данный режим используется в том случае, если во время анализа расход газа должен изменяться по определённой программе. В данном режиме задаются значения расхода (в см3/мин.) на начальном участке программы, длительность начального участка (в мин.) и скорость изменения расхода (в см3/мин./мин.). После ввода данных для одного этапа программы можно задать значения для следующего этапа.
8.8.5. Программируемое давление (выход)
Данный режим используется в том случае, если во время анализа давление газа-носителя на выходе должно изменяться по определённой программе. В данном режиме задаются значения давления (в кгс/см2) на начальном участке программы, длительность начального участка (в мин.) и скорость изменения давления (в кгс/см2/мин.). После ввода данных для одного этапа программы можно задать значения для следующего этапа.
8.8.6. Программируемая линейная скорость КК (выход)
Данный режим используется в том случае, если во время анализа линейная скорость газа-носителя на выходе должна изменяться по определённой программе. В данном режиме задаются значения линейной скорости (в см/сек.) на начальном участке программы, длительность начального участка (в мин.) и скорость изменения линейной скорости (в см/сек./мин.). После ввода данных для одного этапа программы можно задать значения для следующего этапа. При выборе данного режима необходимо задать длину (в м) и внутренний диаметр (в мм) капиллярной колонки.
Рис. 94 Режим «Программируемая линейная скорость КК (выход)»
8.8.7. При поджиге *2 плюс добавка
Данный режим используется для регулирования расхода водорода для облегчения розжига пламени в пламенно-ионизационном детекторе (ПИД). Значение рабочего расхода водорода задаётся в см3/мин. во вкладке Общие окна Установки прибора. При переходе прибора к поджигу пламени ПИД заданное значение расхода водорода удваивается. После успешного поджига пламени значение расхода водорода возвращается к заданному. В случае неудачной попытки поджига осуществляются следующие попытки, при которых результат удвоения расхода увеличивается на величину добавки. Добавка расхода газа увеличивается с каждой последующей попыткой, но всего производится не более пяти попыток.
Рис. 95 Режим «При поджиге *2 плюс добавка»
8.8.8. При поджиге *3 плюс добавка
Данный режим рекомендуется использовать для поджига пламени ТИД. Значение рабочего расхода газа задаётся в см3/мин. во вкладке Общие окна Установки прибора. При переходе прибора к поджигу пламени ТИД заданное значение расхода газа утраивается. После успешного поджига пламени значение расхода газа возвращается к заданному. В случае неудачной попытки поджига осуществляются следующие попытки, при которых результат утроения расхода увеличивается на величину добавки. Добавка расхода газа увеличивается с каждой последующей попыткой, но всего производится не более пяти попыток.
8.8.9. При поджиге +20 (+40) плюс добавка
Данный режим используется для облегчения розжига пламени ПИД. Значение рабочего расхода газа задаётся в см3/мин. во вкладке Общие окна Установки прибора. При переходе прибора к поджигу пламени ПИД заданное значение расхода газа увеличивается на фиксированную величину (20 см3/мин. или 40 см3/мин.). После успешного поджига пламени значение расхода газа возвращается к заданному. В случае неудачной попытки поджига осуществляются следующие попытки, при которых к результат повышения расхода увеличивается на величину добавки. Добавка расхода газа увеличивается с каждой последующей попыткой, но всего производится не более пяти попыток.
8.8.10. При поджиге уменьшать в два раза
Данный режим может использоваться для регулирования расхода воздуха при поджиге ТИД. В данном режиме расход газа при поджиге уменьшается вдвое.
8.8.11. При поджиге уменьшать до 10
Данный режим может использоваться для регулирования расхода газа-носителя через колонку или поддув в ПИД/ТИД. В данном режиме расход газа при поджиге уменьшается до 10 см3/мин.
8.8.12. При поджиге выключать
В данном режиме во время поджига газ полностью перекрывается.
8.8.13. Индикатор расхода
В данном режиме РГП отображает текущее значение расхода в линии, где установлен РГП. Этот режим может использоваться для точной настройки расхода пробы, например, при анализе природного газа.
Рис. 96 Режим «Индикатор расхода»
8.8.14. Экономия расхода
В данном режиме РГП устанавливает заданное значение расхода только на 10 секунд после начала анализа. Остальное время РГП поддерживает расход 10 см3/мин. Значение расхода задаётся во вкладке Общие окна Установки прибора. При выходе прибора в данный режим РГП устанавливает расход 10 см3/мин., и индикатор Готов на передней панели прибора моргает. После ввода пробы и нажатия кнопки Анализ РГП устанавливает заданный расход, индикатор Готов при этом светится постоянно. Через 10 секунд возвращается значение расхода 10 см3/мин.
Рис. 97 Режим «Экономия расхода»
8.8.15. Коэффициент деления
Данный режим предназначен для работы с капиллярной колонкой. При работе в данном режиме участвуют два РГП (1 и 2 или 3 и 4). Нечётный РГП служит для задания давления на входе капиллярной колонки, а чётный — для задания сброса пробы. При задании коэффициента деления расход в линии сброса устанавливается автоматически, исходя из расхода через колонку при текущей температуре. Для расчёта сбросного расхода будут использоваться параметры колонки, заданные в предыдущем РГП (см. также Разд. 8.7 Расчёт коэффициента деления).
Рис. 98 Режим «Коэффициент деления»
8.8.16. При поджиге *4.3
Данный режим используется для облегчения поджига пламени ТИД. Значение рабочего расхода газа задаётся в см3/мин. во вкладке Общие окна Установки прибора. При переходе прибора к поджигу пламени ТИД заданное значение расхода газа увеличивается в 4.3 раза. После успешного поджига пламени значение расхода газа возвращается к заданному.
8.8.17. При поджиге уменьшать в 2.5 раза
Данный режим может использоваться для регулирования расхода воздуха при поджиге ТИД. В данном режиме расход газа при поджиге уменьшается в два с половиной раза.
8.8.18. Постоянное давление (вход)
Данный режим используется для поддержания постоянного давления газа-носителя на входе. Значение давления газа-носителя задаётся в кгс/см2 во вкладке Общие окна Установки прибора.
8.8.19. Постоянная линейная скорость КК (вход)
Данный режим используется для поддержания постоянной линейной скорости газа-носителя через капиллярную колонку (КК) на входе. При выборе данного режима необходимо задать длину и внутренний диаметр КК. Значение линейной скорости газа-носителя задаётся в см/сек во вкладке Общие окна Установки прибора.
8.8.20. Программируемое давление (вход)
Данный режим используется в том случае, если во время анализа давление газа-носителя на входе должно изменяться по определённой программе. В данном режиме задаются значения давления (в кгс/см2) на начальном участке программы, длительность начального участка (в мин.) и скорость изменения давления (в кгс/см2/мин.). После ввода данных для одного этапа программы можно задать значения для следующего этапа.
8.8.21. Программируемая линейная скорость КК (вход)
Данный режим используется в том случае, если во время анализа линейная скорость газа-носителя на входе должна изменяться по определённой программе. В данном режиме задаются значения линейной скорости (в см/сек.) на начальном участке программы, длительность начального участка (в мин.) и скорость изменения линейной скорости (в см/сек./мин.). После ввода данных для одного этапа программы можно задать значения для следующего этапа. При выборе данного режима необходимо задать длину (в м) и внутренний диаметр (в мм) капиллярной колонки.
8.8.22. Уровень определения пламени
Для пламенных детекторов необходимо задавать уровень пламени, при котором будет записываться хроматограмма. Для этого в мВ (милливольт) замеряется уровень при отсутствии пламени, далее — при максимальном пламени. Среднее между ними значение является уровнем определения пламени, который задаётся во вкладке Дополнительные окна Установки прибора.
Таким образом, если уровень пламени ниже установленного, подаётся больше воздушно-водородной смеси и производится поджиг. При неудачной попытке поджиг производится ещё раз. Количество попыток настраивается также во вкладке Дополнительные окна Установки прибора.

















